Paperzz
  • Explore Categories
  • Log in
  • Create new account
  1. Catalog
  • technical documentation

  • Science and Nature

  • Religion

  • Health and Medicine

  • Travel

  • Automotive

  • Business and Leadership

  • Design

  • Economy and Finance

  • Education

  • Software and Internet

  • Entertainment and Humor

  • Cooking and Food

  • Government and Nonprofit

  • Lifestyle and Career

  • Real Estate

  • Sports and adventure

  • Crafts and Hobbies

GAME #7 – WOY WOY (WON 4-3) Last weekend`s heavy rain and a

GAME #7 – WOY WOY (WON 4-3) Last weekend`s heavy rain and a

GAME #4 – VS UMINA (LOST 2-4) Whilst conceding an early goal in

GAME #4 – VS UMINA (LOST 2-4) Whilst conceding an early goal in

Game #4

Game #4

Game #1: BUILDING YOUR BRAIN!

Game #1: BUILDING YOUR BRAIN!

GAME #19/HOME #10 LHP BRETT ANDERSON

GAME #19/HOME #10 LHP BRETT ANDERSON

Game # Start Time Dark Caps White Caps Place

Game # Start Time Dark Caps White Caps Place

Game # Start End Home Visitor Home Visitor

Game # Start End Home Visitor Home Visitor

GAME # DIVISION DAY TIME ARENA HOME SCORE AWAY

GAME # DIVISION DAY TIME ARENA HOME SCORE AWAY

Game # Day Game Date Start-End Time Facility Home Team Visitor

Game # Day Game Date Start-End Time Facility Home Team Visitor

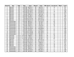
Game # Day Date Time Team Result Team Win Score Lose Score

Game # Day Date Time Team Result Team Win Score Lose Score

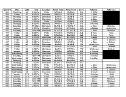
Game # Day Date Time Location Home Team Away Team Level

Game # Day Date Time Location Home Team Away Team Level

Game # Date Time Teams Team 1 7:00pm 1 vs 6 1 2 7:35pm 2 vs 5

Game # Date Time Teams Team 1 7:00pm 1 vs 6 1 2 7:35pm 2 vs 5

Game # Date Time Location Field Home Vistor 132 2/25/2017 10:15

Game # Date Time Location Field Home Vistor 132 2/25/2017 10:15

Game # Calgary Local Country City or Capital Time Zone Local Date

Game # Calgary Local Country City or Capital Time Zone Local Date

Game # 1 “A Game with Consequences” - Training

Game # 1 “A Game with Consequences” - Training

GAME # $ Ticket GAME NAME LAST DAY TO REDEEM 964 $10

GAME # $ Ticket GAME NAME LAST DAY TO REDEEM 964 $10

GAME

GAME

game

game

game

game

game

game

game

game

  • 1 ...
  • 16
  • 17
  • 18
  • 19
  • 20
  • 21
  • 22
  • 23
  • 24
  • ... 177824

Paperzz.com

  • Explore Categories
  • About Paperzz
  • Contacts

Your Paperzz

  • Log in
  • Create new account

© Copyright 2026 Paperzz

  • About Paperzz
  • DMCA / GDPR
  • Report