Paperzz
  • Explore
  • Log in
  • Create new account
  1. Catalog
  • technical documentation

  • Science and Nature

  • Religion

  • Health and Medicine

  • Travel

  • Automotive

  • Business and Leadership

  • Design

  • Economy and Finance

  • Education

  • Software and Internet

  • Entertainment and Humor

  • Cooking and Food

  • Government and Nonprofit

  • Lifestyle and Career

  • Real Estate

  • Sports and adventure

  • Crafts and Hobbies

Continuous Weak Approximation for Stochastic Differential Equations

Continuous Weak Approximation for Stochastic Differential Equations

continuous wawe diffuse optical tomography system tested on

continuous wawe diffuse optical tomography system tested on

Continuous Wavelet Transform Analysis of Acceleration Signals

Continuous Wavelet Transform Analysis of Acceleration Signals

Continuous Wave Observation of Massive Polariton Redistribution

Continuous Wave Observation of Massive Polariton Redistribution

Continuous Wave Modulation

Continuous Wave Modulation

Continuous wave lasing in GaInAsP microdisk injection laser with

Continuous wave lasing in GaInAsP microdisk injection laser with

CONTINUOUS WAVE FUNCTION COLLAPSE IN QUANTUM

CONTINUOUS WAVE FUNCTION COLLAPSE IN QUANTUM

Continuous vs. Discrete signals Analog to Digital Conversion

Continuous vs. Discrete signals Analog to Digital Conversion

Continuous Variation Rather than Specialization in the Egg

Continuous Variation Rather than Specialization in the Egg

Continuous variables - International Association for Statistical

Continuous variables - International Association for Statistical

Continuous variable methods in relativistic quantum information

Continuous variable methods in relativistic quantum information

CONTINUOUS USE AND PURCHASING BEHAVIOUR IN

CONTINUOUS USE AND PURCHASING BEHAVIOUR IN

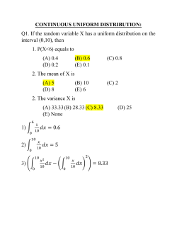
CONTINUOUS UNIFORM DISTRIBUTION: Q1. If the random

CONTINUOUS UNIFORM DISTRIBUTION: Q1. If the random

continuous uniform distribution

continuous uniform distribution

CONTINUOUS ULTRASOUND BASED TONGUE

CONTINUOUS ULTRASOUND BASED TONGUE

Continuous Typist Verification using Machine Learning

Continuous Typist Verification using Machine Learning

Continuous Turing Machine: Real Function Computability and

Continuous Turing Machine: Real Function Computability and

Continuous Transmission Commodities

Continuous Transmission Commodities

Continuous transformation learning: A novel learning mechanism for

Continuous transformation learning: A novel learning mechanism for

Continuous Training for Supporting Long

Continuous Training for Supporting Long

Continuous Tracking of Lava Effusion Rate in a Lava Tube

Continuous Tracking of Lava Effusion Rate in a Lava Tube

  • 1 ...
  • 47094
  • 47095
  • 47096
  • 47097
  • 47098
  • 47099
  • 47100
  • 47101
  • 47102
  • ... 177835

Paperzz.com

  • Explore
  • About Paperzz
  • Contacts

Your Paperzz

  • Log in
  • Create new account

© Copyright 2026 Paperzz

  • About Paperzz
  • DMCA / GDPR
  • Report